Содержимое: 14v-IDZ14.1.pdf (96.64 KB)
Загружен: 10.07.2025

Положительные отзывы: 0
Отрицательные отзывы: 0

Продано: 1
Возвраты: 0

~ 100 ₽
Точная сумма — на странице оплаты
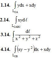
1. Вычислить данные криволинейные интегралы (1-4)

, где LOA – дуга окружности x = Rcost, y = Rsint; O(R, 0); A(0, R)

, где LOABC – контур прямоугольника с вершинами O(0, 0), A(4, 0), B(4, 2), C(0, 2).

, где L – первый виток винтовой линии x = acost, y = asint, z = bt.

, где LOB – дуга параболы y = 2√x от точки O(0, 0) до точки B(1, 2)
Подробное решение. Оформлено в PDF-формате для удобства просмотра решений ИДЗ на смартфонах и ПК.
В MS Word (doc-формате) высылается дополнительно.
Отзывов от покупателей не поступало