Содержимое: 15v-IDZ14.1.pdf (98.56 KB)
Загружен: 10.07.2025

Положительные отзывы: 0
Отрицательные отзывы: 0

Продано: 4
Возвраты: 0

~ 100 ₽
Точная сумма — на странице оплаты
1. Вычислить данные криволинейные интегралы (1-4)

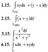
, где LOA – дуга параболы y2 = x от точки O(0, 0) до точки A(1, 1).

, где LABO – контур треугольника с вершинами А(1, 0), B(0, 1), O(0, 0).

, где L – первый виток винтовой линии x = acost, y = asint, z = at.

, где L – дуга верхней половины окружности x2 + y2 = 2x при положительном направлении обхода контура.
Подробное решение. Оформлено в PDF-формате для удобства просмотра решений ИДЗ на смартфонах и ПК.
В MS Word (doc-формате) высылается дополнительно.
Отзывов от покупателей не поступало