Содержимое: 18v-IDZ14.1.pdf (96.25 KB)
Загружен: 10.07.2025

Положительные отзывы: 0
Отрицательные отзывы: 0

Продано: 1
Возвраты: 0

~ 100 ₽
Точная сумма — на странице оплаты
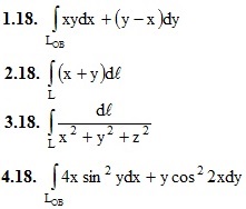
1. Вычислить данные криволинейные интегралы (1-4)

, где LOB – дуга параболы y = x2 от точки O(0, 0) до точки B(1, 1).

, где L – дуга лемнискаты Бернулли ρ2 = cos2φ, –π/4 ≤ φ ≤ π/4

, где L – первый виток винтовой линии x = 5cost, y = 5sint, z = t.

, где LOB – отрезок прямой, соединяющий точки O(0, 0) и B(3, 6).
Подробное решение. Оформлено в PDF-формате для удобства просмотра решений ИДЗ на смартфонах и ПК.
В MS Word (doc-формате) высылается дополнительно.
Отзывов от покупателей не поступало