Содержимое: 22v-IDZ14.1.pdf (100.53 KB)
Загружен: 10.07.2025

Положительные отзывы: 0
Отрицательные отзывы: 0

Продано: 2
Возвраты: 0

100 ₽
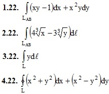
1. Вычислить данные криволинейные интегралы (1-4)

, где LAB – отрезок прямой AB; А(1, 0); B(0, 2).

, где LAB – дуга астроиды x = cos3t, y = sin3t между точками А(1, 0) и B(0, 1)

, где L – дуга параболы y2 = 6x, отсеченная параболой x2 = 6y.

, где L – контур треугольника с вершинами A(0, 0), B(1, 0), C(0, 1) при положительном направлении обхода контура.
Подробное решение. Оформлено в PDF-формате для удобства просмотра решений ИДЗ на смартфонах и ПК.
В MS Word (doc-формате) высылается дополнительно.
Отзывов от покупателей не поступало