Содержимое: 23v-IDZ14.1.pdf (89.75 KB)
Загружен: 10.07.2025

Положительные отзывы: 0
Отрицательные отзывы: 0

Продано: 2
Возвраты: 0

~ 100 ₽
Точная сумма — на странице оплаты
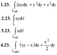
1. Вычислить данные криволинейные интегралы (1-4)

, где LAB – дуга одного витка винтовой линии x = cost, y = sint, z = 2t; A(1, 0, 0); B(1, 0, 4π).

, где L – контур квадрата со сторонами x = ±1, y = ±1.

, где LAB – дуга параболы y = x2 от точки А(2, 4) до точки B(1, 1).

, где LABO – ломаная ABO (O(0, 0); A(1, 2); B(1/2, 3)) при положительном направлении обхода контура.
Подробное решение. Оформлено в PDF-формате для удобства просмотра решений ИДЗ на смартфонах и ПК.
В MS Word (doc-формате) высылается дополнительно.
Отзывов от покупателей не поступало