Содержимое: 24v-IDZ14.1.pdf (102.82 KB)
Загружен: 10.07.2025

Положительные отзывы: 0
Отрицательные отзывы: 0

Продано: 1
Возвраты: 0

~ 100 ₽
Точная сумма — на странице оплаты
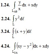
1. Вычислить данные криволинейные интегралы (1-4)

, где LAB – дуга линии y = lnx от точки А(1, 0) до точки B(e, 1).

, где L – первая арка циклоиды x = t – sint, y = 1 – cost.

, где L – первый виток лемнискаты ρ2 = 7cos2φ.

, где LOA – отрезок прямой от точки O(0, 0) до точки A(1, 2)
Подробное решение. Оформлено в PDF-формате для удобства просмотра решений ИДЗ на смартфонах и ПК.
В MS Word (doc-формате) высылается дополнительно.
Отзывов от покупателей не поступало