Содержимое: 27v-IDZ14.1.pdf (94.09 KB)
Загружен: 10.07.2025

Положительные отзывы: 0
Отрицательные отзывы: 0

Продано: 1
Возвраты: 0

~ 100 ₽
Точная сумма — на странице оплаты
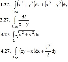
1. Вычислить данные криволинейные интегралы (1-4)

, где LAB – ломаная линия y = |x| от точки А(–1, 1) до точки B(2, 2)

, где LAB – отрезок прямой, заключенный между точками A(4, 0) и B(6, 1).

, где L – развертка окружности x = 6(cost + tsint), y = 6(sint – tcost), 0 ≤ t ≤ 2π.

, где LOB – дуга параболы y = 4x2 от точки O(0, 0) до точки B(1, 4).
Подробное решение. Оформлено в PDF-формате для удобства просмотра решений ИДЗ на смартфонах и ПК.
В MS Word (doc-формате) высылается дополнительно.
Отзывов от покупателей не поступало