Содержимое: 29v-IDZ14.1.pdf (91.41 KB)
Загружен: 10.07.2025

Положительные отзывы: 0
Отрицательные отзывы: 0

Продано: 3
Возвраты: 0

~ 100 ₽
Точная сумма — на странице оплаты
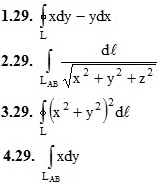
1. Вычислить данные криволинейные интегралы (1-4)

, где L – контур треугольника с вершинами A(–1, 0), B(1, 0), C(0, 1) при положительном направлении обхода.

, где LAB – отрезок прямой, соединяющий точки A(1, 1, 1) и B(2, 2, 2).

, где L – окружность x = 3cost, y = 3sint.

, где LAB – дуга правой полуокружности x2 + y2 = a2 от точки A(0, –a) до точки B(0, a).
Подробное решение. Оформлено в PDF-формате для удобства просмотра решений ИДЗ на смартфонах и ПК.
В MS Word (doc-формате) высылается дополнительно.
Отзывов от покупателей не поступало