Содержимое: 30v-IDZ14.1.pdf (102.95 KB)
Загружен: 10.07.2025

Положительные отзывы: 0
Отрицательные отзывы: 0

Продано: 1
Возвраты: 0

~ 100 ₽
Точная сумма — на странице оплаты
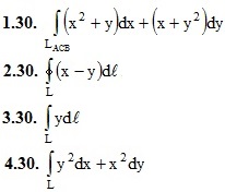
1. Вычислить данные криволинейные интегралы (1-4)

, где LACB – ломаная ACB; A(2, 0); C(5, 0); B(5, 3).

, где L – окружность x2 + y2 = 2x

, где L – дуга параболы y2 = 12x, отсеченная параболой x2 = 12y.

, где L – дуга верхней половины эллипса x = 5cost, y = 2sint, «пробегаемая» по ходу часовой стрелки.
Подробное решение. Оформлено в PDF-формате для удобства просмотра решений ИДЗ на смартфонах и ПК.
В MS Word (doc-формате) высылается дополнительно.
Отзывов от покупателей не поступало