Содержимое: Diplom_OP.zip (244.91 KB)
Загружен: 14.02.2019

Положительные отзывы: 0
Отрицательные отзывы: 0

Продано: 0
Возвраты: 0

~ 4485.56 ₽
Точная сумма — на странице оплаты
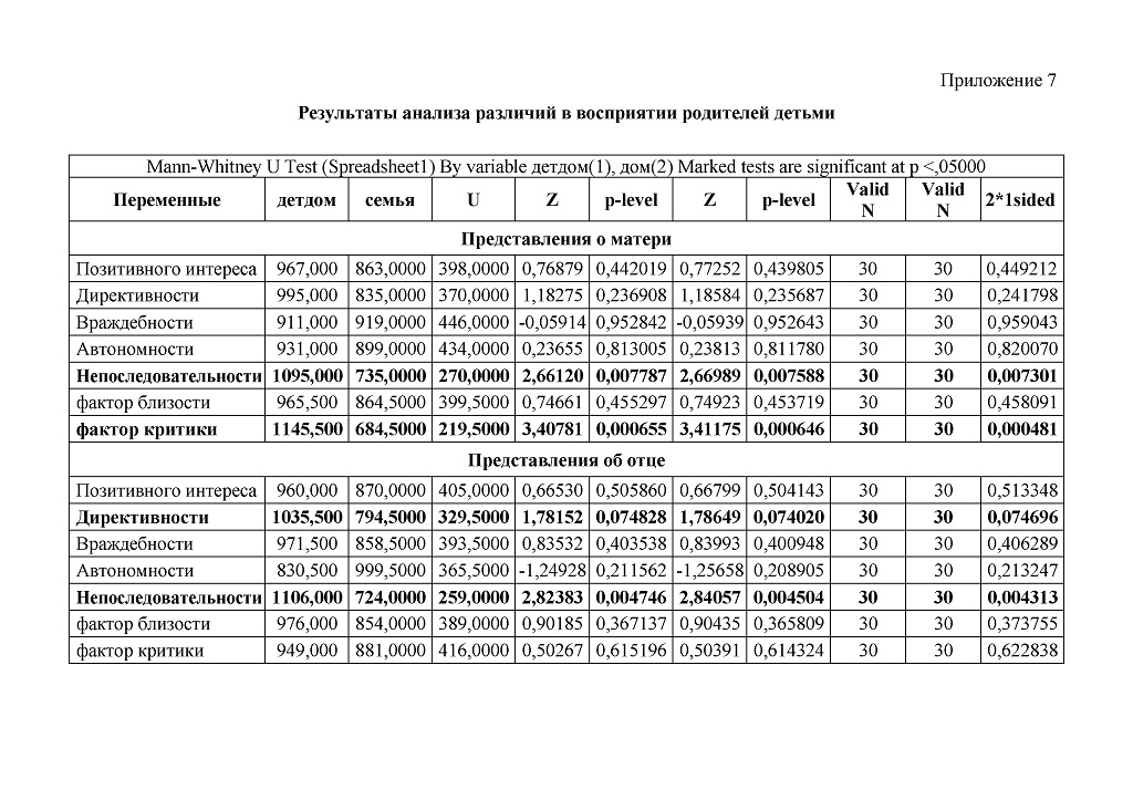
Объект исследования: представления о родителях у подростков.
Предмет исследования: образ родителя у подростков, воспитывающихся в детском доме и семье.
Цель исследования: изучить образ родителей в представлениях у подростков, воспитывающихся в детском доме и семье.
Задачи:
1. Провести теоретический анализ и выявить возможные компоненты образа родителей у подростков, воспитывающихся в детском доме.
2. Изучить содержательные характеристики образа родителей у подростков, воспитывающихся в детском доме.
3. Определить содержательные характеристики образа родителей у подростков, воспитывающихся в семье.
4. Проанализировать содержательные характеристики образа родителей в представлении девочек и мальчиков.
5. Выявить различия образа родителей у подростков, воспитывающихся в детском доме и подростков, воспитывающихся в семье.
Работа по сбору данных велась с реальными детьми, как семейными так и детдомовскими. Анкетирование проводилось в несколько этапов.
Объем дипломной работы - 76 листов печатного текста с графиками и приложениями в редактируемом формате *.doc (MS Word).
Отзывов от покупателей не поступало