Содержимое: 27v-KR_integraly.pdf (88.95 KB)
Загружен: 20.02.2025

Положительные отзывы: 0
Отрицательные отзывы: 0

Продано: 0
Возвраты: 0

~ 120 ₽
Точная сумма — на странице оплаты
Контрольная работа "Неопределенные интегралы" (2 часа). 340 стр.

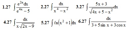
Найти неопределенные интегралы
Подробное решение. Оформлено в PDF-формате для удобства просмотра решений ИДЗ на смартфонах.
В MS Word (doc-формате) высылается дополнительно.
Отзывов от покупателей не поступало