Содержимое: 4v-KR_predely.pdf (72.01 KB)
Загружен: 20.02.2025

Положительные отзывы: 0
Отрицательные отзывы: 0

Продано: 0
Возвраты: 0

~ 80 ₽
Точная сумма — на странице оплаты
Контрольная работа "Пределы" (1 час). 255 стр.

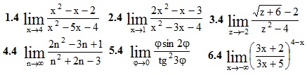
Найти пределы
Подробное решение. Оформлено в PDF-формате для удобства просмотра решений ИДЗ на смартфонах.
В MS Word (doc-формате) высылается дополнительно.
Отзывов от покупателей не поступало