Контрольная работа "Производные и их приложения" (2 часа). 260 стр.
1. Найти производную первого порядка y′
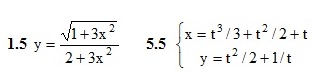
2. Найти производную первого порядка y′
2.5 y = e−φ2cos3(2φ + 3)
3. Вычислить первую производную функции при указанном значении аргумента или параметра либо при заданных координатах точки.
3.5 f(t) = √a2 + b2 − 2abcost , t = π/2
4. Найти вторую производную y′′
4.5 y = lnctg4x
5. Найти вторую производную d2y/dx2 функции.
6. Решить следующие задачи.
6.5. На параболе y = x2 взяты две точки с абсциссами x1 = 1 и x2 = 3. Через эти точки проведена секущая. В какой точке параболы касательная к ней параллельная секущей?
7. Решить следующие задачи.
7.5. Тело массой 100 кг движется прямолинейно по закону s = 2t2 + 3t + 1. Определить кинетическую энергию mυ2/2 тела через 5 с после начала движения.
Подробное решение. Оформлено в PDF-формате для удобства просмотра решений ИДЗ на смартфонах.
В MS Word (doc-формате) высылается дополнительно.
Отзывов от покупателей не поступало