Содержимое: 8v-KR_proizvodniye.pdf (105.70 KB)
Загружен: 20.02.2025

Положительные отзывы: 0
Отрицательные отзывы: 0

Продано: 0
Возвраты: 0

~ 140 ₽
Точная сумма — на странице оплаты
Контрольная работа "Производные и их приложения" (2 часа). 260 стр.

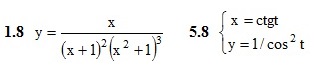
1. Найти производную первого порядка y′


2. Найти производную первого порядка y′
2.8 y = 3√(1 + sin32x)2

3. Вычислить первую производную функции при указанном значении аргумента или параметра либо при заданных координатах точки.
3.8 f(x) = (√x− 1)2/x, x = 0,01

4. Найти вторую производную y′′
4.8 y = xe1/x

5. Найти вторую производную d2y/dx2 функции.


6. Решить следующие задачи.
6.8. Найти угол пересечения кривой у = х – x3 и прямой у = 5х.

7. Решить следующие задачи.
7.8. Заряд, проходящий через проводник, начиная с момента времени t = 0, определяется формулой Q = t3 – 9t2 + 15t + 1. В какие моменты времени сила тока в проводнике будет равна нулю?
Подробное решение. Оформлено в PDF-формате для удобства просмотра решений ИДЗ на смартфонах.
В MS Word (doc-формате) высылается дополнительно.
Отзывов от покупателей не поступало