Содержимое: 21v-KR_proizvodniye.pdf (111.41 KB)
Загружен: 20.02.2025

Положительные отзывы: 0
Отрицательные отзывы: 0

Продано: 0
Возвраты: 0

~ 140 ₽
Точная сумма — на странице оплаты
Контрольная работа "Производные и их приложения" (2 часа). 260 стр.

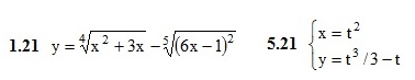
1. Найти производную первого порядка y′


2. Найти производную первого порядка y′
2.21 y = (1 + ex)/(1 – ex)

3. Вычислить первую производную функции при указанном значении аргумента или параметра либо при заданных координатах точки.
3.21 y(x) = (1 + x3)(5 – 1/ x2), x = 1, x = 0

4. Найти вторую производную y′′
4.21 y = arctg(2x/(1 – x2))

5. Найти вторую производную d2y/dx2 функции.


6. Решить следующие задачи.
6.21. Записать уравнение нормали к астроиде х = acos3t, у = asin3t в точке, для которой t = π/4.

7. Решить следующие задачи.
7.21. Радиус шара возрастает равномерно со скоростью 5 см/с. С какой скоростью увеличиваются площадь поверхности шара и его объем в момент, когда его радиус становится равным 50 см?
Подробное решение. Оформлено в PDF-формате для удобства просмотра решений ИДЗ на смартфонах.
В MS Word (doc-формате) высылается дополнительно.
Отзывов от покупателей не поступало