Navigation
Digital Shop
Как оплатить
Правила
Карта сайта
Мои покупки
Закладки
0
Электронные книги
Бизнес и экономика
Дом, быт, семья, досуг
Искусство и культура
Компьютеры и интернет
Наука и образование
Английский язык
Астрология
Аттестация работников
Биология
В помощь абитуриенту
В помощь аспиранту
В помощь студенту
География
Геология
Дипломы
Диссертации
Иностранные языки
Информатика
История
Карты и атласы
Конспекты, шпаргалки
Контрольные работы
Культурология
Курсовые работы
Математика
Музыкальная литература
Ответы на тесты
Педагогика
Политология
Практические работы
Психология
Религии
Рефераты
Русский язык и культура речи
Социология
Сочинения
Учебники для техникумов и вузов
Учебники для школы
Физика
Философия
Химия
Чертежи
Экология
Экономика
Этика, эстетика
Продвижение сайтов
Словари, справочники, энциклопедии
Техническая литература
Художественная литература
Юридическая литература
Контрольные работы: 8858
Сортировка:
Лучший выбор
Лучший выбор
Цена
Цена (убывание)
Рейтинг продавца (убывание)
Название (А-Я)
Название (Я-А)
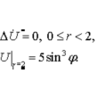
Решение задачи 9.18 из раздела 3 УМФ автор Чудесенко В
63 ₽
Решение задачи 10.18 из раздела 3 УМФ автор Чудесенко В
60.54 ₽
Решение задачи 13.18 из раздела 3 УМФ автор Чудесенко В
63 ₽
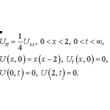
Решение задачи 16.18 из раздела 3 УМФ автор Чудесенко В
92 ₽
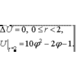
Решение задачи 11.18 из раздела 3 УМФ автор Чудесенко В
63 ₽
Решение задачи 12.18 из раздела 3 УМФ автор Чудесенко В
63 ₽
Решение задачи 1.19 из раздела 3 УМФ автор Чудесенко В
63 ₽
Решение задачи 3.19 из раздела 3 УМФ автор Чудесенко В
60.54 ₽
Решение задачи 5.19 из раздела 3 УМФ автор Чудесенко В
60.54 ₽
Решение задачи 6.19 из раздела 3 УМФ автор Чудесенко В
60.54 ₽
Решение задачи 7.19 из раздела 3 УМФ автор Чудесенко В
60.54 ₽
Решение задачи 2.19 из раздела 3 УМФ автор Чудесенко В
60.54 ₽
Решение задачи 4.19 из раздела 3 УМФ автор Чудесенко В
60.54 ₽
Решение задачи 4.19(2005) 3 УМФ автор Чудесенко В.Ф.
60.54 ₽
Решение задачи 8.19 из раздела 3 УМФ автор Чудесенко В
60.54 ₽
69
70
71
72
73
Мы используем куки для улучшения работы сайта.
Подробнее
Принять
Отказаться